
| Quantity: | Corresponding signal number and name in this manual: |
| ϕα | 29.PHIA |
| nα | 9. NE, 38. NM1, 42. NM2, 42b. NM3, 46. NIMP |
| Tα | 1. TE, 5. TI |
| dnα/dt | 60.DNER |
| dWα/dt | 58. DWER, 59. DWIR |
| S(ρ) | 72. SURF |
| <|∇ρ|>(*) | 73. GRHO1 |
| < |∇ρ|2 >(*) | 74.GRHO2 |
| χα | 36. CHIE, 37. CHII (Note that the definition of χα does not include the <|∇ρ|2> |
| 0D Variable | Units | Data Type | Brief Description | Full Description |
|---|---|---|---|---|
| Additional: | ADDITIONAL | String | any additional information | any additional information |
| Analysis code(s): | ANAL_CODES | String | codes used for data analysis | codes used for data analysis |
| Assumptions: | ASSUMPTION | String | main assumptions made in the analysis | main assumptions made in the analysis |
| Contact person: | CONTACT | String | contact person at the experiment | contact person at the experiment |
| Date of analysis: | ANAL_DATES | String | date of analysis | date of analysis |
| Date of shot: | SHOT_DATE | String | date of shot | date of shot |
| Institution: | INSTITUTION | String | institution | institution |
| Publication: | PUBLICATION | String | publication | publication |
| Pulse number: | SHOT | String | shot number | shot number |
| Run number: | RUN_NUMBER | String | run number | run number |
| Shot description: | DESCRIPTION | String | summary of useful information describing the shot and giving the purpose of the experiment | summary of useful information describing the shot and giving the purpose of the experiment |
| Tokamak: | TOKAMAK | String | tokamak name | tokamak name |
| 0D Variable | Units | Data Type | Brief Description | Full Description | ||||||||||||||||||||||||||||||||||||||||||||||||||||||||||||||||||||||||||||||||||||||
|---|---|---|---|---|---|---|---|---|---|---|---|---|---|---|---|---|---|---|---|---|---|---|---|---|---|---|---|---|---|---|---|---|---|---|---|---|---|---|---|---|---|---|---|---|---|---|---|---|---|---|---|---|---|---|---|---|---|---|---|---|---|---|---|---|---|---|---|---|---|---|---|---|---|---|---|---|---|---|---|---|---|---|---|---|---|---|---|---|---|---|
| AMIN | m | Real | minor radius | The horizontal plasma minor radius in meters from an MHD equilibrium fit or a formula based on a number of equilibria (ASDEX). Normal level of accuracy is ASDEX (± 1%), D3D (± 0.5%), JET (± 3%), JFT2M (± 3%), PBXM (± 3%), PDX (± 3%). | ||||||||||||||||||||||||||||||||||||||||||||||||||||||||||||||||||||||||||||||||||||||
| AREA | m^2 | Real | poloidal cross sectional area | Area of poloidal plasma cross section in m2 , ideally determined from an MHD equilibrium fit, or alternatively from the formula: AREA = &pi &kappa AMIN2. | ||||||||||||||||||||||||||||||||||||||||||||||||||||||||||||||||||||||||||||||||||||||
| AUXHEAT | - | String | auxiliary heating | Type of auxiliary heating. Each scheme is labelled by:
| ||||||||||||||||||||||||||||||||||||||||||||||||||||||||||||||||||||||||||||||||||||||
| BEPDIA | - | Real | absolute poloidal beta from diamagnetic loop | Absolute corrected poloidal beta from diamagnetic loop | ||||||||||||||||||||||||||||||||||||||||||||||||||||||||||||||||||||||||||||||||||||||
| BEPMHD | - | Real | absolute poloidal beta | Absolute poloidal beta computed from the MHD equilibrium fit. | ||||||||||||||||||||||||||||||||||||||||||||||||||||||||||||||||||||||||||||||||||||||
| BETMHD | - | Real | absolute toroidal beta | Absolute toroidal beta computed from the MHD equilibrium fit. | ||||||||||||||||||||||||||||||||||||||||||||||||||||||||||||||||||||||||||||||||||||||
| BETNMHD | - | Real | normalised toroidal beta | Normalised toroidal beta computed from the MHD equilibrium fit. BETNMHD=100*BETMHD*AMIN(m)*BT(T)/IP(MA) = 108*BETMHD*AMIN*BT/IP | ||||||||||||||||||||||||||||||||||||||||||||||||||||||||||||||||||||||||||||||||||||||
| BGASA | amu | Integer | mass number of beam gas | Mass number of the neutral beam gas. Possible values are: 1 (Hydrogen), 2 (Deuterium), 3 (3He) or 4 (4He). & C | ||||||||||||||||||||||||||||||||||||||||||||||||||||||||||||||||||||||||||||||||||||||
| BGASA2 | amu | Integer | mass number of 2nd beam gas (JET) | Mass number of the second neutral beam gas (JET only). Possible values are: 1 (Hydrogen), 2 (Deuterium), 3(3He) or 4 (4He). & C | ||||||||||||||||||||||||||||||||||||||||||||||||||||||||||||||||||||||||||||||||||||||
| BGASZ | - | Integer | charge number of beam gas | Charge number of the neutral beam gas. Possible values are: 1 (Hydrogen or Deuterium) or 2 (Helium). & C | ||||||||||||||||||||||||||||||||||||||||||||||||||||||||||||||||||||||||||||||||||||||
| BGASZ2 | - | Integer | charge number of 2nd beam gas (JET) | Charge number of the second neutral beam gas (JET only). Possible values are: 1 (Hydrogen or Deuterium) or 2 (Helium). & C | ||||||||||||||||||||||||||||||||||||||||||||||||||||||||||||||||||||||||||||||||||||||
| BPFOOT | T | Real | Flux surface averaged poloidal magnetic field at RFOOT | Flux surface averaged poloidal magnetic field at RFOOT | ||||||||||||||||||||||||||||||||||||||||||||||||||||||||||||||||||||||||||||||||||||||
| BSOURCE | - | Integer | main beam power fractions F1*10000+F2*100+F3 (F1 F2 F3 all to nearest %) | The power fractions injected by neutral beam eg P1 = 80%, P2= 10% and P3 = 10% then BSOURCE = 801010. | ||||||||||||||||||||||||||||||||||||||||||||||||||||||||||||||||||||||||||||||||||||||
| BSOURCE2 | - | Integer | auxiliary beam power fractions F1*10000+F2*100+F3 (F1 F2 F3 all to nearest %) | The power fractions injected by neutral beam with the second source (JET only). For 89-90 data the possibilities for BSOURCE and BSOURCE2 are 781606 for 80kV D, 652114 for 140kV D, 990000 for 3He or 4He beams. | ||||||||||||||||||||||||||||||||||||||||||||||||||||||||||||||||||||||||||||||||||||||
| BT | T | Real | vacuum toroidal magnetic field at geometric axis | vacuum toroidal magnetic field at geometric axis: +ve BT is anti-clockwise when viewed from above | ||||||||||||||||||||||||||||||||||||||||||||||||||||||||||||||||||||||||||||||||||||||
| COCTR | - | Real | fraction of beam power co-injected (ie parallel to plasma current) | Fraction of beam power co-injected (ie parallel to plasma current), as compared to the total beam power injected. COCTR = P_co / (P_co + P_ctr) and lies between 0 and 1. | ||||||||||||||||||||||||||||||||||||||||||||||||||||||||||||||||||||||||||||||||||||||
| CONFIG | - | String | Plasma configuration | Plasma configuration. Possible values are:
| ||||||||||||||||||||||||||||||||||||||||||||||||||||||||||||||||||||||||||||||||||||||
| DATE | - | Integer | shot date YYYYMMDD | The date the shot was taken. The format is YYYYMMDD. | ||||||||||||||||||||||||||||||||||||||||||||||||||||||||||||||||||||||||||||||||||||||
| DELTA | - | Real | mean triangularity | The mean triangularity of the plasma boundary from an MHD equilibrium fit. Normal level of accuracy is ASDEX (Na), D3D (± 10%), JET (±10%), JFT2M (± 10%), PBXM (± 25%), PDX (Na). | ||||||||||||||||||||||||||||||||||||||||||||||||||||||||||||||||||||||||||||||||||||||
| DELTA95 | - | Real | mean triangularity at 95 % poloidal flux | The mean triangularity of the surface which encloses 95 % of the poloidal flux from an MHD equilibrium fit. | ||||||||||||||||||||||||||||||||||||||||||||||||||||||||||||||||||||||||||||||||||||||
| DELTAL | - | Real | lower triangularity | The lower triangularity of the plasma boundary from an MHD equilibrium fit. | ||||||||||||||||||||||||||||||||||||||||||||||||||||||||||||||||||||||||||||||||||||||
| DELTAL95 | - | Real | lower triangularity at 95 % poloidal flux | The lower triangularity of the surface which encloses 95 % of the poloidal flux from an MHD equilibrium fit. | ||||||||||||||||||||||||||||||||||||||||||||||||||||||||||||||||||||||||||||||||||||||
| DELTAU | - | Real | upper triangularity | The upper triangularity of the plasma boundary from an MHD equilibrium fit. | ||||||||||||||||||||||||||||||||||||||||||||||||||||||||||||||||||||||||||||||||||||||
| DELTAU95 | - | Real | upper triangularity at 95 % poloidal flux | The upper triangularity of the surface which encloses 95 % of the poloidal flux from an MHD equilibrium fit. | ||||||||||||||||||||||||||||||||||||||||||||||||||||||||||||||||||||||||||||||||||||||
| DIPDT | A/s | Real | Time derivative of plasma current in A/s | Time derivative of plasma current in A/s | ||||||||||||||||||||||||||||||||||||||||||||||||||||||||||||||||||||||||||||||||||||||
| DIVMAT | - | String | divertor material | The material of the divertor tiles. Possible values are: SS for stainless steel, C or CC for carbon, TI1 or TI2 for titanium, BE for beryllium or C/BE for carbon at the top and beryllium at the bottom. | ||||||||||||||||||||||||||||||||||||||||||||||||||||||||||||||||||||||||||||||||||||||
| DNELDT | m^-3/s | Real | time derivative of central line averaged electron density | The time rate of change of NEL in m-3/s. Normal level of accuracy is similar to NEL. | ||||||||||||||||||||||||||||||||||||||||||||||||||||||||||||||||||||||||||||||||||||||
| DNEVDT | m^-3/s | Real | time derivative of volume averaged electron density | The time rate of change of NEV in m-3/s. | ||||||||||||||||||||||||||||||||||||||||||||||||||||||||||||||||||||||||||||||||||||||
| DWDIA | J/s | Real | Time derivative of WDIA. | Time derivative of WDIA. | ||||||||||||||||||||||||||||||||||||||||||||||||||||||||||||||||||||||||||||||||||||||
| DWMHD | J/s | Real | Time derivative of WMHD. | Time derivative of WMHD. | ||||||||||||||||||||||||||||||||||||||||||||||||||||||||||||||||||||||||||||||||||||||
| DWTOT | Js^-1 | Real | time derivative of total plasma energy content | Time rate of change of WTOT in Joules / s . | ||||||||||||||||||||||||||||||||||||||||||||||||||||||||||||||||||||||||||||||||||||||
| ECHFREQ | Hz | Real | ECH frequency | ECH frequency in Hz | ||||||||||||||||||||||||||||||||||||||||||||||||||||||||||||||||||||||||||||||||||||||
| ECHLOC | - | String | ECH launch location | Location of ECH launch, IN identifies waves launched from the high field side or inside of the vessel and OUT is from the low field side. | ||||||||||||||||||||||||||||||||||||||||||||||||||||||||||||||||||||||||||||||||||||||
| ECHMODE | - | String | mode of ECH waves | Mode of ECH waves, O is ordinary and X is extraordinary. | ||||||||||||||||||||||||||||||||||||||||||||||||||||||||||||||||||||||||||||||||||||||
| ECHRLOC | - | Real | ECH resonance layer radius (&rhon) | ECH resonance layer radius (&rhon). | ||||||||||||||||||||||||||||||||||||||||||||||||||||||||||||||||||||||||||||||||||||||
| ENBI | V | Real | neutral beam energy | Neutral beam energy weighted by power in volts. This quantity is calculated from &sum EiPi/&sum Pi where Ei is the main beam energy for source i and Pi is the beam power for source i. | ||||||||||||||||||||||||||||||||||||||||||||||||||||||||||||||||||||||||||||||||||||||
| ENBI1 | V | Real | Primary beam acceleration voltage in V. | Primary beam acceleration voltage in V. | ||||||||||||||||||||||||||||||||||||||||||||||||||||||||||||||||||||||||||||||||||||||
| ENBI2 | V | Real | Secondary beam acceleration voltage in V. | Secondary beam acceleration voltage in V. | ||||||||||||||||||||||||||||||||||||||||||||||||||||||||||||||||||||||||||||||||||||||
| EVAP | - | String | evaporated wall conditioning material | The evaporated material used to cover the inside of the vessel. Possible values are:
| ||||||||||||||||||||||||||||||||||||||||||||||||||||||||||||||||||||||||||||||||||||||
| FPERP | - | Real | Fraction of beam power injected perpendicular as compared to the total beam power injected | Fraction of beam power injected perpendicular as compared to the total beam power injected | ||||||||||||||||||||||||||||||||||||||||||||||||||||||||||||||||||||||||||||||||||||||
| GRADTE | eV/m | Real | Electron temperature gradient on outboard mid-plane immediately inside RFOOT | Electron temperature gradient on outboard mid-plane immediately inside RFOOT | ||||||||||||||||||||||||||||||||||||||||||||||||||||||||||||||||||||||||||||||||||||||
| GRADTI | eV/m | Real | Ion temperature gradient on outboard mid-plane immediately inside RFOOT | Ion temperature gradient on outboard mid-plane immediately inside RFOOT | ||||||||||||||||||||||||||||||||||||||||||||||||||||||||||||||||||||||||||||||||||||||
| H89P | - | Real | Ratio of confinement time to ITER89P L-mode scaling law | Ratio of confinement time to ITER89P L-mode scaling law | ||||||||||||||||||||||||||||||||||||||||||||||||||||||||||||||||||||||||||||||||||||||
| IBOOT | A | Real | Total bootstrap current. | Total bootstrap current, calculated by a neoclassical code. | ||||||||||||||||||||||||||||||||||||||||||||||||||||||||||||||||||||||||||||||||||||||
| IBWFREQ | Hz | Real | IBW frequency | Frequency of IBW in Hz. | ||||||||||||||||||||||||||||||||||||||||||||||||||||||||||||||||||||||||||||||||||||||
| ICANTEN | - | String | ICRH antenna phasing | Antenna phasing. Possible Values are DIPOLE or MONOPOLE. | ||||||||||||||||||||||||||||||||||||||||||||||||||||||||||||||||||||||||||||||||||||||
| ICFREQ | Hz | Real | ICRH frequency | Frequency of ICRH waves in Hz. | ||||||||||||||||||||||||||||||||||||||||||||||||||||||||||||||||||||||||||||||||||||||
| ICSCHEME | - | String | ICRH heating scheme | ICRH heating scheme. Possible Values: HMIN for H minority, HE3MIN for 3He minority or H2NDHARM for 2nd harmonic H heating respectively. | ||||||||||||||||||||||||||||||||||||||||||||||||||||||||||||||||||||||||||||||||||||||
| IGRADB | - | Integer | ion gradB drift towards/away (1/-1) from Xpoint | Indicates when CONFIG = SN whether the ion gradB-drift is towards (1) or pointing away from (-1) the X-point. | ||||||||||||||||||||||||||||||||||||||||||||||||||||||||||||||||||||||||||||||||||||||
| INDENT | m | Real | indentation | Indentation of the plasma determined from an MHD equilibrium fit. Normal level of accuracy is ASDEX (Na), D3D (Na), JET (Na), JFT2M (Na), PBXM (± 15%), PDX (Na). | ||||||||||||||||||||||||||||||||||||||||||||||||||||||||||||||||||||||||||||||||||||||
| IP | A | Real | plasma current | plasma current: +ve IP is anti-clockwise when viewed from above | ||||||||||||||||||||||||||||||||||||||||||||||||||||||||||||||||||||||||||||||||||||||
| ISEQ | - | String | parameter scan identifier | Parameter scan identifier Possible options for ASDEX are:
Possible options for JFT2M are:
No options available for D3D, JET, PBXM and PDX. | ||||||||||||||||||||||||||||||||||||||||||||||||||||||||||||||||||||||||||||||||||||||
| ITB | - | String | ITB flag | Flag for ITB conditions with possible values: "ITB" if an ITB is present, "PREITB" immediately before the ITB onset, and "NOITB" if no ITB is present | ||||||||||||||||||||||||||||||||||||||||||||||||||||||||||||||||||||||||||||||||||||||
| ITBTIME | s | Real | Time of ITB triggering. | Time of ITB triggering. | ||||||||||||||||||||||||||||||||||||||||||||||||||||||||||||||||||||||||||||||||||||||
| ITBTYPE | - | String | Type of ITB. | Type of ITB with possible values: "NONE", "TI", "TE", "NE", and concatenations of these (eg "TITENE") | ||||||||||||||||||||||||||||||||||||||||||||||||||||||||||||||||||||||||||||||||||||||
| KAPPA | - | Real | plasma elongation | The plasma elongation determined from an MHD equilibrium fit or a formula based on a number of equilibria (ASDEX). Normal level of accuracy is ASDEX (± 1%), D3D (± 1%), JET (± 5%), JFT2M (± 10%), PBXM (± 10%), PDX (k = 1 for all records, ± 10%). | ||||||||||||||||||||||||||||||||||||||||||||||||||||||||||||||||||||||||||||||||||||||
| KAPPA95 | - | Real | elongation at 95 % poloidal flux | Elongation of the surface which encloses 95 % of the poloidal flux from an MHD equilibrium fit. | ||||||||||||||||||||||||||||||||||||||||||||||||||||||||||||||||||||||||||||||||||||||
| LHFREQ | Hz | Real | LH frequency | Frequency of LH waves in Hz. | ||||||||||||||||||||||||||||||||||||||||||||||||||||||||||||||||||||||||||||||||||||||
| LHNPAR | - | Real | LH parallel mode number | LH parallel mode number. | ||||||||||||||||||||||||||||||||||||||||||||||||||||||||||||||||||||||||||||||||||||||
| LI | - | Real | internal inductance | Internal plasma inductance (ideally from MHD equilibrium): li=2 &int Bp2dV / ( &mu02 Ip2 Rgeo ) | ||||||||||||||||||||||||||||||||||||||||||||||||||||||||||||||||||||||||||||||||||||||
| LIMMAT | - | String | limiter material | The material of the limiters. Possible valuesare: BE for beryllium or C for carbon. | ||||||||||||||||||||||||||||||||||||||||||||||||||||||||||||||||||||||||||||||||||||||
| NE0 | m^-3 | Real | central electron density | Central electron density in m-3. | ||||||||||||||||||||||||||||||||||||||||||||||||||||||||||||||||||||||||||||||||||||||
| NE95 | m^-3 | Real | electron density at 95% poloidal flux surface | electron density at 95% poloidal flux surface | ||||||||||||||||||||||||||||||||||||||||||||||||||||||||||||||||||||||||||||||||||||||
| NEFOOT | m^-3 | Real | electron density at an ITB foot | electron density at an ITB foot | ||||||||||||||||||||||||||||||||||||||||||||||||||||||||||||||||||||||||||||||||||||||
| NEL | m^-3 | Real | central line averaged electron density | Central line average electron density in m-3 from interferometer. For JET NEL has been approximated by: ohmic: NEL ~ exp {2.931 +0.873 log (NEV) + 0.064 log (NEØ)} H-mode: NEL ~ exp {3.745 +0.825 log (NEV) + 0.092 log (NEØ)} If no measurement is available, the variable NELFORM indicates if NEL is measured or approximated. Normal level of accuracy is ASDEX (± 2%), D3D (± 2 x 1018 m-3), JET (± 8%), JFT2M (± 2%), PBXM (± 5%), PDX (± 5%). | ||||||||||||||||||||||||||||||||||||||||||||||||||||||||||||||||||||||||||||||||||||||
| NESHOULD | m^-3 | Real | electron density at an ITB shoulder | electron density at an ITB shoulder | ||||||||||||||||||||||||||||||||||||||||||||||||||||||||||||||||||||||||||||||||||||||
| NEV | m^-3 | Real | volume averaged electron density | Volume average electron density in m-3. | ||||||||||||||||||||||||||||||||||||||||||||||||||||||||||||||||||||||||||||||||||||||
| NFASTnA | amu | Real | mass number of nth fast ion species <=> 2D variable NFASTn | mass number of nth fast ion species corresponding to 2D variable NFASTn with 1 &le n &le 9 | ||||||||||||||||||||||||||||||||||||||||||||||||||||||||||||||||||||||||||||||||||||||
| NFASTnZ | - | Real | atomic number of nth fast ion species <=> 2D variable NFASTn | atomic number of nth fast ion species corresponding to 2D variable NFASTn with 1 &le n &le 9 | ||||||||||||||||||||||||||||||||||||||||||||||||||||||||||||||||||||||||||||||||||||||
| NMnA | amu | Real | mass number of nth thermal ion species <=> 2D variable NMn | mass number of thermal ion species corresponding to 2D variable NMn with 1 &le n &le 9 | ||||||||||||||||||||||||||||||||||||||||||||||||||||||||||||||||||||||||||||||||||||||
| NMnZ | - | Real | atomic number of nth thermal ion species <=> 2D variable NMn | atomic number of thermal ion species corresponding to 2D variable NMn with 1 &le n &le 9 | ||||||||||||||||||||||||||||||||||||||||||||||||||||||||||||||||||||||||||||||||||||||
| PECH | W | Real | ECH power coupling to plasma | ECH power in watts coupled to the plasma. Zero if no ECH is applied. Normal level of accuracy is D3D (± 10%). ASDEX, JET, JFT2M,PBXM, PDX: Na. | ||||||||||||||||||||||||||||||||||||||||||||||||||||||||||||||||||||||||||||||||||||||
| PELLET | - | String | Pellet material information and side of launch | NONE if no pellets H/D/LI for the pellet material concatenated with injection field side (HFS, LFS) | ||||||||||||||||||||||||||||||||||||||||||||||||||||||||||||||||||||||||||||||||||||||
| PERFDUR | s | Real | duration of the high performance phase | duration of the high performance phase, defined as the time (in s) during which the discharge has >85% of its maximum stored energy. This indicates how stationary the discharge is. | ||||||||||||||||||||||||||||||||||||||||||||||||||||||||||||||||||||||||||||||||||||||
| PGASA | amu | Real | mean mass number of main plasma ions | Mean mass number of the plasma ions. Values typically ranging from 1.0 to 3.0 in hydrogenic plasmas, and up to 4.0 in He plasmas | ||||||||||||||||||||||||||||||||||||||||||||||||||||||||||||||||||||||||||||||||||||||
| PGASZ | - | Real | mean charge number of main plasma ions | Mean charge number of the main plasma ions. Values typically ranging from 1.0 in hydrogenic plasmas to 2.0 in Helium. | ||||||||||||||||||||||||||||||||||||||||||||||||||||||||||||||||||||||||||||||||||||||
| PHASE | - | String | plasma phase | The phase of the discharge at TIME. Possible values are:
| ||||||||||||||||||||||||||||||||||||||||||||||||||||||||||||||||||||||||||||||||||||||
| PIBW | W | Real | IBW power coupling to plasma | IBW power in watts coupled to the plasma. Zero if no IBW is applied. | ||||||||||||||||||||||||||||||||||||||||||||||||||||||||||||||||||||||||||||||||||||||
| PICRH | W | Real | ICRH power coupling to plasma | ICRH power in watts coupled to the plasma. Zero if no ICRH is applied. Normal level of accuracy is JET (± 10%). ASDEX, D3D, JFT2M, PBXM, PDX: Na. | ||||||||||||||||||||||||||||||||||||||||||||||||||||||||||||||||||||||||||||||||||||||
| PIMPA | amu | Real | mass number of main impurity | Mass number of the plasma main impurity. Possible values are: 8 (Beryllium), 10 (Boron), 12 (C), etc ... & C | ||||||||||||||||||||||||||||||||||||||||||||||||||||||||||||||||||||||||||||||||||||||
| PIMPZ | - | Real | charge number of main impurity | Charge number of the plasma main impurity. Possible values are: 4 (Beryllium), 5 (Boron), 6(C), etc ... & C | ||||||||||||||||||||||||||||||||||||||||||||||||||||||||||||||||||||||||||||||||||||||
| PINJ | W | Real | power injected by main neutral beam | The injected neutral beam power with beam of (BGASA, BGASZ) that passes into the torus in watts. Zero if no beams are on. Notice total injected neutral beam power is PINJ + PINJ2. Normal level of accuracy is ASDEX (± 10%), D3D (± 10%), JET (± 6%), JFT2M (± 5%), PBXM (±5%), PDX (± 10%). | ||||||||||||||||||||||||||||||||||||||||||||||||||||||||||||||||||||||||||||||||||||||
| PINJ2 | W | Real | power injected by auxiliary neutral beam | The injected neutral beam power from a second source with beam of (BGASA2, BGASZ2) in watts (JET only). Zero if no beams of second source are on. Normal level of accuracy is JET (± 6%). ASDEX, D3D, JFT2M, PBXM, PDX: Na. | ||||||||||||||||||||||||||||||||||||||||||||||||||||||||||||||||||||||||||||||||||||||
| PL | W | Real | uncorrected loss power | Estimated Loss Power not corrected for charge exchange and unconfined orbit losses in watts. ASDEX: PL = POHM + PNBI - DWDIA/3 - 2*DWMHD/3 D3D: PL = POHM + PNBI + PECH - DWMHD JET: PL = POHM + PNBI + PICRH - DWDIA JFT2M: PL = POHM + PNBI - DWDIA PBXM: PL = POHM + PNBI - DWMHD PDX: PL = POHM + PNBI - DWMHD ASDEX, D3D, JET, JFT2M, PBXM, PDX: Co. | ||||||||||||||||||||||||||||||||||||||||||||||||||||||||||||||||||||||||||||||||||||||
| PLH | W | Real | LH power coupling to plasma | LH power in watts coupled to the plasma. Zero if no LH is applied. | ||||||||||||||||||||||||||||||||||||||||||||||||||||||||||||||||||||||||||||||||||||||
| PLTH | W | Real | loss power with correction for cx and orbit losses | Estimated Loss Power corrected for charge exchange and unconfined orbit losses in Watts, i.e. PLTH = PL - PFLOSS. ASDEX, D3D, JET, JFT2M, PBXM, PDX: Co. | ||||||||||||||||||||||||||||||||||||||||||||||||||||||||||||||||||||||||||||||||||||||
| PNBI | W | Real | total injected beam power minus shine through | Total injected neutral beam power minus shine through in watts. Zero if no beams are on. Normal level of accuracy is ASDEX (± 10%),D3D (± 10%), JET (± 10%), JFT2M (<± 10%), PBXM (± 10%), PDX (± 10%). | ||||||||||||||||||||||||||||||||||||||||||||||||||||||||||||||||||||||||||||||||||||||
| POHM | W | Real | Ohmic power | Total ohmic power in watts.
| ||||||||||||||||||||||||||||||||||||||||||||||||||||||||||||||||||||||||||||||||||||||
| PRAD | W | Real | radiated power | Total radiated power in watts as measured by Bolometer. Normal level of accuracy is ASDEX (± 20%), D3D (± 15%), JET (± 10 15%), JFT2M (± 10 - 20%), PBXM (± < 25%), PDX (Na). | ||||||||||||||||||||||||||||||||||||||||||||||||||||||||||||||||||||||||||||||||||||||
| PUMP | - | String | Status of divertor pump | Status of divertor pump ('ON' or 'OFF') | ||||||||||||||||||||||||||||||||||||||||||||||||||||||||||||||||||||||||||||||||||||||
| Q95 | - | Real | safety factor at 95% poloidal flux | The plasma safety factor from an MHD equilibrium fit evaluated at the flux surface that encloses 95% of the total poloidal flux. For ASDEX Q95 = qcyl(1 + (AMIN/RGEO)2 (1 + 0.5 BEILI22)) with qcyl = 107 (BT/IP) (AMIN2/RGEO) (1 + KAPPA2)/2. Normal level of accuracy is ASDEX (± 15%), D3D (± 3%),JET (± 10%), JFT2M (± 10%) PBXM(±10%), PDX (± 10%). | ||||||||||||||||||||||||||||||||||||||||||||||||||||||||||||||||||||||||||||||||||||||
| QAXIS | - | Real | central safety factor on the magnetic axis | central safety factor on the magnetic axis | ||||||||||||||||||||||||||||||||||||||||||||||||||||||||||||||||||||||||||||||||||||||
| QFOOT | - | Real | safety factor at an ITB foot | safety factor at an ITB foot | ||||||||||||||||||||||||||||||||||||||||||||||||||||||||||||||||||||||||||||||||||||||
| QMIN | - | Real | Minimum safety factor | Minimum safety factor | ||||||||||||||||||||||||||||||||||||||||||||||||||||||||||||||||||||||||||||||||||||||
| RFOOT | - | Real | &rho corresponding to the ITB foot | &rho corresponding to ITB foot | ||||||||||||||||||||||||||||||||||||||||||||||||||||||||||||||||||||||||||||||||||||||
| RGEO | m | Real | geometric axis | The plasma geometrical major radius in meters, from an MHD equilibrium fit, defined as the average of the minimum and the maximum radial extent of the plasma at the elevation of the magnetic axis. Normal level of accuracy is ASDEX (± 0.5%), D3D (± 0.6%) JET (± 1%), JFT2M (± 0.75%), PBXM (± 0.65%), PDX (± 0.75%). | ||||||||||||||||||||||||||||||||||||||||||||||||||||||||||||||||||||||||||||||||||||||
| RICRES | - | Real | Normalised minor radius (&rho) of ICRH deposition. | Normalised minor radius (&rho) of ICRH deposition. | ||||||||||||||||||||||||||||||||||||||||||||||||||||||||||||||||||||||||||||||||||||||
| RLHDEP | - | Real | Normalised minor radius (&rho) of lower hybrid deposition. | Normalised minor radius (&rho) of lower hybrid deposition. | ||||||||||||||||||||||||||||||||||||||||||||||||||||||||||||||||||||||||||||||||||||||
| RMAG | m | Real | magnetic axis | The major radius of the magnetic axis in meters from an MHD equilibrium fit or a formula based on a number of equilibria (ASDEX). Normal level of accuracy is ASDEX (± 0.5%), D3D (± 1%), JET (± 2%), JFT2M (±2%), PBXM (± 1%), PDX (± 4%). | ||||||||||||||||||||||||||||||||||||||||||||||||||||||||||||||||||||||||||||||||||||||
| RQMIN | - | Real | &rho corresponding to the minimum in safety factor, QMIN. | &rho corresponding to the minimum in safety factor, QMIN. ( &rho is the normalised flux surface label proportional to the square root of the toroidal flux ) | ||||||||||||||||||||||||||||||||||||||||||||||||||||||||||||||||||||||||||||||||||||||
| RSHOULD | - | Real | &rho corresponding to an ITB shoulder | &rho corresponding to an ITB shoulder | ||||||||||||||||||||||||||||||||||||||||||||||||||||||||||||||||||||||||||||||||||||||
| RSMIN | - | Real | &rho of the surface with minimum magnetic shear | &rho of the surface with minimum magnetic shear | ||||||||||||||||||||||||||||||||||||||||||||||||||||||||||||||||||||||||||||||||||||||
| SELDB | - | Integer | Sequence of binary flags stored as a 10 digit integer: abcdefghij. These digits carry the following information
| |||||||||||||||||||||||||||||||||||||||||||||||||||||||||||||||||||||||||||||||||||||||
| SEPLIM | m | Real | minimum separation between separatrix and limiter/wall | The minimum distance between the separatrix flux surface and either the vessel wall or limiters in meters from an MHD equilibrium fit or a formula based on a number of equilibria (ASDEX). Normal level of accuracy is ASDEX (± 1 cm), D3D (± 0.5 cm), JET (± 1 cm), JFT2M (± 1 cm), PBXM (± 0.5 cm), PDX (± 1 cm). | ||||||||||||||||||||||||||||||||||||||||||||||||||||||||||||||||||||||||||||||||||||||
| SFOOT | - | Real | magnetic shear at ITB foot | magnetic shear (defined as s=&rho/q dq/d&rho where &rho is the square root normalised toroidal flux coordinate) at ITB foot | ||||||||||||||||||||||||||||||||||||||||||||||||||||||||||||||||||||||||||||||||||||||
| SHEAR | - | String | sign of magnetic shear inside ITB radius | General sign of the magnetic shear inside ITB radius with allowed values: "NE", "WE", "PO" for negative, weak and positive shear respectively | ||||||||||||||||||||||||||||||||||||||||||||||||||||||||||||||||||||||||||||||||||||||
| SHOT | - | String | shot # | The shot from which the data are taken. | ||||||||||||||||||||||||||||||||||||||||||||||||||||||||||||||||||||||||||||||||||||||
| SPLASMA | m^2 | Real | area of outermost magnetic surface | Area of outermost magnetic surface in m2 ideally determined from an MHD equilibrium fit, but otherwise from the simple formula: AREA=4&pi AMIN RGEO ((1+&kappa2 )/2))0.5 . | ||||||||||||||||||||||||||||||||||||||||||||||||||||||||||||||||||||||||||||||||||||||
| STATE | - | String | plasma state ('STEADY' or 'TRANS') | Description of the plasma state for the present time slice:
| ||||||||||||||||||||||||||||||||||||||||||||||||||||||||||||||||||||||||||||||||||||||
| TAUDIA | s | Real | Total diamagnetic energy confinement time. | Total diamagnetic energy confinement time in seconds. TAUDIA=WDIA/(POHM+PNBI+PICRH+PECH+PLH+PIBW-DWDIA) | ||||||||||||||||||||||||||||||||||||||||||||||||||||||||||||||||||||||||||||||||||||||
| TAUP | s | Real | Particle confinement time in s. | Particle (electron) confinement time in s. | ||||||||||||||||||||||||||||||||||||||||||||||||||||||||||||||||||||||||||||||||||||||
| TAUTH | s | Real | thermal energy confinement time | Estimated thermal energy confinement time (WTH/PLTH) in seconds. | ||||||||||||||||||||||||||||||||||||||||||||||||||||||||||||||||||||||||||||||||||||||
| TAUTH1 | s | Real | Thermal energy confinement time. | Thermal energy confinement time in seconds. TAUTH1=WKIN/(POHM+PNBI+PICRH+PECH+PLH+PIBW-DWKIN) where DWKIN is the time derivative of the stored thermal energy as estimated from kinetic measurements | ||||||||||||||||||||||||||||||||||||||||||||||||||||||||||||||||||||||||||||||||||||||
| TAUTOT | s | Real | total energy confinement time | Estimated total energy confinement time (WTOT/PLTH) in seconds. | ||||||||||||||||||||||||||||||||||||||||||||||||||||||||||||||||||||||||||||||||||||||
| TE0 | eV | Real | central Te | The electron temperature at the magnetic axis in eV.
| ||||||||||||||||||||||||||||||||||||||||||||||||||||||||||||||||||||||||||||||||||||||
| TE95 | eV | Real | electron temperature at 95% poloidal flux surface | electron temperature at 95% poloidal flux surface | ||||||||||||||||||||||||||||||||||||||||||||||||||||||||||||||||||||||||||||||||||||||
| TEFOOT | eV | Real | electron temperature at the ITB foot | electron temperature at the ITB foot | ||||||||||||||||||||||||||||||||||||||||||||||||||||||||||||||||||||||||||||||||||||||
| TESHOULD | eV | Real | electron temperature at the ITB shoulder | electron temperature at the ITB shoulder | ||||||||||||||||||||||||||||||||||||||||||||||||||||||||||||||||||||||||||||||||||||||
| TEV | eV | Real | volume averaged electron temperature | Volume average electron temperature in eV. | ||||||||||||||||||||||||||||||||||||||||||||||||||||||||||||||||||||||||||||||||||||||
| TI0 | eV | Real | central Ti | The ion temperature at the magnetic axis in eV.
| ||||||||||||||||||||||||||||||||||||||||||||||||||||||||||||||||||||||||||||||||||||||
| TI95 | eV | Real | ion temperature at 95% poloidal flux surface | ion temperature at 95% poloidal flux surface | ||||||||||||||||||||||||||||||||||||||||||||||||||||||||||||||||||||||||||||||||||||||
| TIFOOT | eV | Real | ion temperature at the ITB foot | ion temperature at the ITB foot | ||||||||||||||||||||||||||||||||||||||||||||||||||||||||||||||||||||||||||||||||||||||
| TIME | s | Real | time | Time during the shot at which the data are taken in seconds. | ||||||||||||||||||||||||||||||||||||||||||||||||||||||||||||||||||||||||||||||||||||||
| TISHOULD | eV | Real | ion temperature at the ITB shoulder | ion temperature at the ITB shoulder | ||||||||||||||||||||||||||||||||||||||||||||||||||||||||||||||||||||||||||||||||||||||
| TIV | eV | Real | volume averaged ion temperature | Volume average ion temperature in eV. | ||||||||||||||||||||||||||||||||||||||||||||||||||||||||||||||||||||||||||||||||||||||
| TOK | - | String | tokamak | This variable designates which tokamak has supplied the data. For example: ASDEX, D3D, JET, JFT2M, PBXM... (10 ASCII characters). | ||||||||||||||||||||||||||||||||||||||||||||||||||||||||||||||||||||||||||||||||||||||
| TRTIME | - | String | Flag for transient or steady enhanced core confinement modes. | Flag for transient or steady enhanced core confinement modes with allowed values: "SS" where the enhanced core confinement lasts for more than 5 energy confinement times and "TR" where the enhancement is more transient. | ||||||||||||||||||||||||||||||||||||||||||||||||||||||||||||||||||||||||||||||||||||||
| UPDATE | - | Integer | last update YYYYMMDD | The date of the most recent update for any variable listed in the database. The format is YYYYMMDD (Year-Month-Day). | ||||||||||||||||||||||||||||||||||||||||||||||||||||||||||||||||||||||||||||||||||||||
| VOL | m^3 | Real | plasma volume | The plasmas volume in m3 determined from an MHD equilibrium fit or a formula based on a number of equilibria (ASDEX). Normal level of accuracy is ASDEX (± 3%), D3D (± 3%),JET (± 6%), JFT2M (± 5%), PBXM (± 10%), PDX (±5%). | ||||||||||||||||||||||||||||||||||||||||||||||||||||||||||||||||||||||||||||||||||||||
| VSURF | V | Real | loop voltage | The loop voltage at the plasma boundary in volts. Normal level of accuracy is ASDEX (± 5%), D3D (Na),JET (± 5%), JFT2M (± 5%), PBXM (±50%), PDX (± 10%). | ||||||||||||||||||||||||||||||||||||||||||||||||||||||||||||||||||||||||||||||||||||||
| VTO95 | m/s | Real | Toroidal velocity at 95% poloidal flux surface in m/s. | Toroidal velocity at 95% poloidal flux surface in m/s. | ||||||||||||||||||||||||||||||||||||||||||||||||||||||||||||||||||||||||||||||||||||||
| VTOAXIS | m/s | Real | Toroidal velocity on axis in m/s. | Toroidal velocity on axis in m/s. | ||||||||||||||||||||||||||||||||||||||||||||||||||||||||||||||||||||||||||||||||||||||
| VTOFOOT | m/s | Real | Toroidal velocity at the ITB foot in m/s. | Toroidal velocity at the ITB foot in m/s. | ||||||||||||||||||||||||||||||||||||||||||||||||||||||||||||||||||||||||||||||||||||||
| WALMAT | - | String | wall material | The material of the vessel wall. Possible values are: SS for stainless steel, IN for inconel, IN/C for Inconel with carbon, CSS for (partly) Carbon on stainless steel, or C for generic carbon. | ||||||||||||||||||||||||||||||||||||||||||||||||||||||||||||||||||||||||||||||||||||||
| WDIA | J | Real | Total plasma energy in Joules as determined from the diamagnetic loop. | Total plasma energy in Joules as determined from the diamagnetic loop. | ||||||||||||||||||||||||||||||||||||||||||||||||||||||||||||||||||||||||||||||||||||||
| WFANI | - | Real | fraction of fast ion energy in perpendicular direction | Estimate of fraction of perpendicular fast ion energy as compared to the totalfast ion energy due to NBI. If WFPER and WFPAR are available WFANI = WFPER/(WFPER + WFPAR), otherwise:
| ||||||||||||||||||||||||||||||||||||||||||||||||||||||||||||||||||||||||||||||||||||||
| WFICRH | J | Real | perpendicular fast ion energy content during ICRH | Estimate of the perpendicular fast ion energy content during ICRH heating in Joules. It is given by 4/3 (DWDIA - DWMHD), where DWDIA and DWMHD is the increase in energy due to ICRH. Zero if no ICRH. Normal level of accuracy is JET (± 50%). ASDEX, D3D, JFT2M, PBXM, PDX: Na | ||||||||||||||||||||||||||||||||||||||||||||||||||||||||||||||||||||||||||||||||||||||
| WKIN | J | Real | Total thermal plasma energy in Joules as determined from kinetic measurements. | Total thermal plasma energy in Joules as determined from kinetic measurements. | ||||||||||||||||||||||||||||||||||||||||||||||||||||||||||||||||||||||||||||||||||||||
| WMHD | J | Real | Total plasma energy in Joules as determined from an MHD equilibrium fit. | Total plasma energy in Joules as determined from an MHD equilibrium fit. | ||||||||||||||||||||||||||||||||||||||||||||||||||||||||||||||||||||||||||||||||||||||
| WTH | J | Real | thermal plasma energy content | Estimated thermal plasma energy content in Joules. ASDEX: WTH = WDIA - 1.5*WFANI*WFFORM. D3D: WTH = WMHD - WFFORM. JET: WTH = WDIA - 1.5 (WFPER + WFICRH). If WFPER is missing WFPER is replaced by WFANI* WFFORM. JFT2M: WTH = WDIA/3 + 2*WMHD/3 - WFFORM. PBXM: WTH = WMHD - 0.75*WFPER - 1.5*WFPAR. PDX: WTH = WMHD - 0.75*WFPER - 1.5*WFPAR. ASDEX, D3D, JET, JFT2M, PBXM, PDX: Co. | ||||||||||||||||||||||||||||||||||||||||||||||||||||||||||||||||||||||||||||||||||||||
| WTOT | J | Real | total plasma energy content | Estimated total plasma energy content in Joules. ASDEX: WTOT = WTH + WFFORM. D3D: WTOT = WMHD JET: WTOT = WTH + WFPER + WFPAR + WFICRH. If WFPER and WFPAR are missing they are replaced by WFFORM. JFT2M: WTOT = WTH + WFFORM PBXM: WTOT = WTH + WFPER + WFPAR PDX: WTOT = WTH + WFPER + WFPAR ASDEX, D3D, JET, JFT2M, PBXM, PDX: Co. | ||||||||||||||||||||||||||||||||||||||||||||||||||||||||||||||||||||||||||||||||||||||
| XPLIM | m | Real | minimum separation between Xpoint and limiter/wall | The minimum distance between the X-point and either the vessel walls or limiters in meters from an MHD equilibrium fit. The value is positive if X-point is inside either the vessel wall or limiters. Normal level of accuracy is ASDEX (Na), D3D (± 3 cm), JET (± 5 cm), JFT2M (± 3 cm), PBXM (± 5 cm), PDX (± 5 cm). | ||||||||||||||||||||||||||||||||||||||||||||||||||||||||||||||||||||||||||||||||||||||
| ZEFF | - | Real | line averaged effective charge | Line average plasma effective charge determined from visible bremsstrahlung. Normal level of accuracy is ASDEX (± 10%), D3D (± 20%), JET (± 30%). JFT2M, PBXM, PDX: Na. | ||||||||||||||||||||||||||||||||||||||||||||||||||||||||||||||||||||||||||||||||||||||
| ZMAG | m | Real | Vertical position of magnetic axis in m | Vertical position of magnetic axis in m |
The following quantities were used in the above list but not yet defined, they are not needed for the 0D description:
WFFORM: Total fast ion energy due to NBI in joules estimated from approximate formula. Zero if no NBI is applied.
ASDEX: From regression analysis based on 176 FREYA runs:
CFTNEL-1.3 PINJ ENBI0.75 (WTOT-WFFORM)0.5 for H beam, and C'F'T NEL-1.1 PINJ ENBI (WTOT WFFORM)0.8 for D beam, where C and C' are estimated constants depending on the target gas, and FT and F'T are estimated temperature effects. Missing temperature profiles are interpolated by regression of the available YAG temperature profiles in the database against IP, BT, NEL, NEV, EVAP and beam gas.
D3D:
PFLOSS: Amount of neutral beam power in watts that is lost from the plasma through charge exchange and unconfined orbits.
ASDEX: From fits to FREYA code results, (± 30%)
D3D: PABS exp (3.3 - IP/106)/100 (± 30%).
JET: PINJ exp (3.35 - 0.667|IP|/106 - 0.2 NEL/1019)/100 (± 50%).
JFT2M: From fits to Monte Carlo code results (± 20%).
PBXM: From a fits to the TRANSP code results (± 20%).
PDX: From a fits to the TRANSP code results (± 30%).
The required format for the 0D description follows the guidelines for the file format adopted to the OD H mode global database and the previous suggested format. The main difference is that the format is extendable to cope with additional variables.
The table below shows the appropriate formats and missing value codes for the three datatypes of 0D variables.| Type | Example 0D Variables | Format | Missing Value |
|---|---|---|---|
| Strings | AUXHEAT, DIVMAT, ECHLOC, TOK, WALMAT etc | A10,1X | ???????? |
| Integers | DATE, NM1A, NM1Z, UPDATE etc | I10,1X | -9999999 |
| Reals | AMIN, BT, IP, KAPPA, PNBI, Q95, TE0, ZEFF etc | 1PE10.3,1X | -9.999E-09 |
| 1X: | One blank space (ASCII code 32). |
| A10: | 10 ASCII characters. |
| I10: | Integer using up to 10 characters. |
| 1PE10.3: | Floating point number occupying at most 10 characters. Format: ±#.###E±## |
| TOK | UPDATE | DATE | SHOT | TIME | … |
| JET | 20031201 | 20001006 | 53521 | 1.00E+01 | … |
| JET | 20031201 | 20001006 | 53521 | 1.10E+01 | … |
TOK,UPDATE,DATE,SHOT,TIME,…
JET,20031201,20001006,53521,1.00E+01,…
JET,20031201,20001006,53521,1.10E+01,…
The only restriction would be that the strings between the commas should not exceed 10 characters. Padding with spaces is not required between commas.
Example reading and writing routines exist for Fortran, C and IDL.
| 1D Variable | Units | Data Type | Brief Description | Full Description |
|---|---|---|---|---|
| AMIN | m | Real | minor radius | The horizontal plasma minor radius in meters from an MHD equilibrium fit or a formula based on a number of equilibria (ASDEX). Normal level of accuracy is ASDEX (± 1%), D3D (± 0.5%),JET (± 3%), JFT2M (± 3%), PBXM (± 3%), PDX (± 3%). |
| BT | T | Real | vacuum toroidal field at geometric axis | The vacuum toroidal magnetic field in Tesla at RGEO determined from the TF coil current. Positive IP is anti-clockwise when viewed from above. Normal level of accuracy is ± 1% for all machines. |
| DELTA | - | Real | mean triangularity | The mean triangularity of the plasma boundary from an MHD equilibrium fit. Normal level of accuracy is ASDEX (Na), D3D (± 10%), JET (±10%), JFT2M (± 10%), PBXM (± 25%), PDX (Na). |
| DELTAL | - | Real | lower triangularity | The lower triangularity of the plasma boundary from an MHD equilibrium fit. |
| DELTAU | - | Real | upper triangularity | The upper triangularity of the plasma boundary from an MHD equilibrium fit. |
| IBOOT | A | Real | bootstrap current | Estimated total bootstrap current (in A). |
| INDENT | m | Real | indentation | Indentation of the plasma determined from an MHD equilibrium fit. Normal level of accuracy is ASDEX (Na), D3D (Na), JET (Na),JFT2M (Na), PBXM (± 15%), PDX (Na). |
| IP | A | Real | plasma current | The plasma current in amperes determined from an external Rogowski loop with vessel current subtraction. Positive IP is anti-clockwise when viewed from above. Normal level of accuracy is ASDEX (± 2%), D3D (± 1%), JET (± 1%), JFT2M (± 1%), PBXM (± 1%), PDX (± 1%). |
| KAPPA | - | Real | elongation | The plasma elongation determined from an MHD equilibrium fit or a formula based on a number of equilibria (ASDEX). Normal level of accuracy is ASDEX (± 1%), D3D (± 1%),JET (± 5%), JFT2M (± 10%), PBXM (± 10%),PDX (k = 1 for all records, ±10%). |
| LI | - | Real | internal inductance | Internal plasma inductance: li=2 ∫ Bp2dV / ( μ02 Ip2 Rgeo ) |
| NE0 | m^-3 | Real | central electron density | Central electron density in m-3. |
| NEL | m^-3 | Real | line averaged electron density | Central line average electron density in m-3 from interferometer. For JET NEL has been approximated by ohmic: NEL ∝ exp {2.931 +0.873 log (NEV) + 0.064 log (NE0)} H-mode: NEL ∝ exp {3.745 + 0.825 log (NEV) + 0.092 log (NE0)} if no measurement is available. The variable NELFORM indicates if NEL is measured or approximated. Normal level of accuracy is ASDEX (± 2%),D3D (± 2 x 1018 m-3),JET (± 8%), JFT2M (± 2%), PBXM (± 5%), PDX(± 5%). |
| NMAIN0 | m^-3 | Real | central main ion density | Central main ion density in m-3. |
| PECH | W | Real | coupled ECH power | ECH power in watts coupled to the plasma. Zero if no ECH is applied. Normal level of accuracy is D3D (± 10%). ASDEX, JET, JFT2M,PBXM, PDX: Na. |
| PFLOSS | W | Real | lost NBI power | Neutral beam power in watts that is lost from the plasma through charge exchange and unconfined orbits. ASDEX: From fits to FREYA code results, (± 30%) D3D: PABS exp (3.3 - IP/106)/100 (± 30%). JET: PINJ exp (3.35 - 0.667 | IP |/106 -0.2 NEL/1019)/100 (± 50%). JFT2M: From fits to Monte Carlo code results (± 20%). PBXM: From a fits to the TRANSP code results (± 20%). PDX: From a fits to the TRANSP code results (± 30%). |
| PFUSION | W | Real | DT fusion power | Total fusion power due to DT reactions in W. |
| PHIA | Wb | Real | toroidal flux | Total toroidal flux in Weber enclosed by the plasma |
| PIBW | W | Real | coupled IBW power | IBW power in watts coupled to the plasma. Zero if no IBW is applied. |
| PICRH | W | Real | coupled ICRH power | ICRH power in watts coupled to the plasma. Zero if no ICRH is applied. Normal level of accuracy is JET (± 10%). ASDEX, D3D, JFT2M, PBXM, PDX: Na. |
| PLH | W | Real | coupled LH power | LH power in watts coupled to the plasma. Zero if no LH is applied. |
| PNBI | W | Real | total injected NBI power | Total injected neutral beam power minus shine through in watts. Zero if no beams are on. Normal level of accuracy is ASDEX (± 10%),D3D (± 10%), JET (± 10%), JFT2M (<± 10%), PBXM (± 10%), PDX (± 10%). |
| POHM | W | Real | Ohmic power | Total ohmic power in watts. ASDEX: Determined from max {0, VSURF*IP}, (Ohmic: ± 5% H: ± 50%). D3D: Calculated using CB10Ip2RGEO2/(WTne). B10 is the central visible bremsstrahlung signal. When ne is determined from the radial (vertical) CO2 chord, C is equal to 1.03*10-19 (9.92*10-20) (± 15%). JET: Corrected for inductance effects (± 20%). JFT2M: Calculated as VSURF*IP (± 10%). PBXM: Calculated as VSURF*IP (± 50%). PDX: Calculated using VSURF and IP corrected for inductance effects (± 20%). |
| PRAD | W | Real | total radiated power | Total radiated power in watts as measured by Bolometer. Normal level of accuracy is ASDEX (± 20%), D3D (±15%), JET (± 10 15%), JFT2M (± 10 - 20%),PBXM (± < 25%), PDX (Na). |
| Q95 | - | Real | safety factor at 95% poloidal flux | The plasma safety factor from an MHD equilibrium fit evaluated at the flux surface that encloses 95% of the total poloidal flux. For ASDEX Q95 = qcyl(1 + (AMIN/RGEO)2(1 + 0.5 BEILI22)) with qcyl = 107 (BT/IP)(AMIN2/RGEO) (1 + KAPPA2)/2. Normal level of accuracy is ASDEX (± 15%), D3D (± 3%), JET (± 10%), JFT2M (± 10%) PBXM (± 10%), PDX (± 10%). |
| RGEO | m | Real | geometric axis | The plasma geometrical major radius in meters, from an MHD equilibrium fit, defined as the average of the minimum and the maximum radial extent of the plasma. Normal level of accuracy is ASDEX (± 0.5%), D3D (±0.6%) JET (± 1%), JFT2M (± 0.75%),PBXM (± 0.65%), PDX (± 0.75%). |
| TE0 | eV | Real | core electron temperature | The electron temperature at the magnetic axis in eV. ASDEX: From 16 radial YAG measurements under the same profile assumptions as for TEV (± 10%). D3D: Determined by a spline temperature profile fit to the Thomson scattering data (± 10%). JET: From ECE temperature profile (± 10%). JFT2M, PBXM, PDX: Na. |
| THNT | s^-1 | Real | thermal neutron yield | Total thermal neutron yield in s-1. |
| TI0 | eV | Real | core ion temperature | The ion temperature at the magnetic axis in eV. D3D: Determined by a spline temperature profile fit to the charge exchange recombination data (± 10%). JET: From Crystal X-ray diagnostic (±10%) or from charge exchange recombination spectroscopy (± 10%). ASDEX, JFT2M, PBXM, PDX: Na. |
| VLOOP | V | Real | measured loop voltage | Measured loop voltage at the coil location in |
| VSURF | V | Real | plasma surface loop voltage | The loop voltage at the plasma boundary in volts. Normal level of accuracy is ASDEX (± 5%), D3D (Na), JET (± 5%), JFT2M (± 5%), PBXM (±50%), PDX (± 10%). |
| WTH | J | Real | thermal plasma energy content | Estimated thermal plasma energy content in Joules. ASDEX: WTH = WDIA - 1.5*WFANI*WFFORM. D3D: WTH = WMHD - WFFORM. JET: WTH = WDIA - 1.5 (WFPER + WFICRH). If WFPER is missing WFPER is replaced by WFANI* WFFORM. JFT2M: WTH = WDIA/3 + 2*WMHD/3 - WFFORM. PBXM: WTH = WMHD - 0.75*WFPER - 1.5*WFPAR. PDX: WTH = WMHD - 0.75*WFPER - 1.5*WFPAR. ASDEX, D3D, JET, JFT2M, PBXM, PDX: Co. |
| WTOT | J | Real | total plasma energy content | Estimated total plasma energy content in Joules. ASDEX: WTOT = WTH + WFFORM. D3D: WTOT = WMHD JET: WTOT = WTH + WFPER + WFPAR + WFICRH. If WFPER and WFPAR are missing they are replaced by WFFORM. JFT2M: WTOT = WTH + WFFORM PBXM: WTOT = WTH + WFPER + WFPAR PDX: WTOT = WTH + WFPER + WFPAR ASDEX, D3D, JET, JFT2M, PBXM, PDX: Co. |
| ZEFF | - | Real | line averaged effective charge | Line average plasma effective charge determined from visible bremsstrahlung. Normal level of accuracy is ASDEX (± 10%),D3D (± 20%). JET (± 30%). JFT2M, PBXM, PDX: Na. |
| 2D Variable | Units | Data Type | Brief Description | Full Description |
|---|---|---|---|---|
| BPOL | T | Real | flux surface averaged poloidal magnetic field | Surface averaged poloidal magnetic field in Tesla. |
| CHIE | m^2/s | Real | estimated electron thermal diffusivity | Estimated thermal electrons heat diffusivity in m2 s-1. |
| CHII | m^2/s | Real | estimated ion thermal diffusivity | Estimated thermal ions heat diffusivity in m2 s-1. |
| CURBS | A/m^2 | Real | bootstrap current profile | Bootstrap current profile in A m-2. (+ve value indicates anti-clockwise current when viewed from above) |
| CURECH | A/m^2 | Real | ECH driven current profile | Current drive profile by ECH in A m-2. (+ve value indicates anti-clockwise current when viewed from above) |
| CURICRH | A/m^2 | Real | ICRH driven current profile | Current drive profile by ICRH in A m-2. (+ve value indicates anti-clockwise current when viewed from above) |
| CURLH | A/m^2 | Real | LH driven current profile | Current drive profile by LH in A m-2. (+ve value indicates anti-clockwise current when viewed from above) |
| CURNBI | A/m^2 | Real | NBI driven current profile | Current drive profile by beams in A m-2. (+ve value indicates anti-clockwise current when viewed from above) |
| CURTOT | A/m^2 | Real | total current density | Total current density in A m-2. (+ve value indicates anti-clockwise current when viewed from above) |
| CURTOTEB | A/m^2 | Real | error in total current density | Error bars on total current density in A m-2. Provided on same radial positions as CURTOT. |
| DELTAR | - | Real | mean triangularity | The mean triangularity of the plasma boundary from an MHD equilibrium fit. Normal level of accuracy is ASDEX (Na), D3D (± 10%), JET (±10%), JFT2M (± 10%), PBXM (± 25%), PDX (Na). |
| DELTARL | - | Real | lower triangularity | The lower triangularity of the plasma boundary from an MHD equilibrium fit. |
| DELTARU | - | Real | upper triangularity | The upper triangularity of the plasma boundary from an MHD equilibrium fit. |
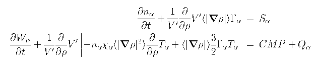
| DNER | m^-3/s | Real | time derivative of electron density | Term ∂ ne(ρ,t) / ∂ t of the electron particles conservation equation in m-3s-1. |
| DWER | W/m^3 | Real | time derivative of electron thermal energy density | Term ∂ We(ρ,t) / ∂ t of the energy conservation equation in W/m3. |
| DWIR | W/m^3 | Real | time derivative of ion thermal energy density | Term ∂ Wi(ρ,t) / ∂ t of the energy conservation equation in W/m3, where i is the main thermal ion. |
| GRHO1 | m^-1 | Real | 〈 | ∇ ρ | 〉 | Metric quantity: 〈 | ∇ ρ | 〉 where ρ is the square root of the normalised toroidal flux |
| GRHO2 | m^-2 | Real | 〈 | ∇ ρ | 2 〉 | Metric quantity 〈 | ∇ ρ | 2 〉, where ρ is the square root of the normalised toroidal flux |
| INDENTR | m | Real | indentation | Averaged indentation of the magnetic surface. |
| IOTAVAC | - | Real | stellarator (not tokamaks) vacuum rotational transform | Stellarator vacuum rotational transform. Omitted for Tokamaks. |
| KAPPAR | - | Real | elongation | Average elongation of the magnetic surface. |
| MOM | Ns/m^2 | Real | total toroidal angular momentum density | toroidal angular momentum density. +ve MOM is anti-clockwise when viewed from above |
| NE | m^-3 | Real | interpolated electron density | Fitted electron density profile in m-3. |
| NEEB | m^-3 | Real | error in interpolated electron density | Error bars on the fitted electron density profile in m-3. Provided on the same radial positions as NE. |
| NEXP | m^-3 | Real | experimental electron density | Measured electron density profile in m-3. |
| NEXPEB | m^-3 | Real | error in experimental electron density | Error bars on the measured electron density profile in m-3. NEXPEB is added to NEXP for the upper limit. NEXPEB is subtracted from NEXP for the lower limit. Provided on the same radial positions as NEXP. |
| NFASTn | m^-3 | Real | interpolated nth fast ion density | nth fast ion density profile in m-3. n<9 |
| NHYA | - | Real | mean mass number of hydrogenic ion species | mean mass number of hydrogenic ion species (nh + 2 nd + 3 nt) / (nh + nd + nt) |
| NM1 | m^-3 | Real | interpolated main ion density | Main ion density profile in m-3. |
| NM1EB | m^-3 | Real | error in interpolated main ion density | Error bars on main ion density profile in m-3. |
| NM1XP | m^-3 | Real | experimental main ion density | Measured main ion density profile in m-3. |
| NM1XPEB | m^-3 | Real | error in experimental main ion density | Error bars on measured main ion density profile in m-3. |
| NM2 | m^-3 | Real | interpolated 2nd main ion density | Secondary main ion density profile in m-3. For instance helium injection into deuterium plasma. |
| NM2EB | m^-3 | Real | error in interpolated 2nd main ion density | Error bars on secondary main ion density profile in m-3. |
| NM2XP | m^-3 | Real | experimental 2nd main ion density | Measured secondary main ion density profile in m-3. |
| NM2XPEB | m^-3 | Real | error in experimental 2nd main ion density | Error bars on measured secondary main ion density profile in m-3. |
| NM3 | m^-3 | Real | interpolated 3rd main ion density | Third main ion density profile in m-3. For instance helium injection into deuterium plasma. |
| NM3EB | m^-3 | Real | error in interpolated 3rd main ion density | Error bars on third main ion density profile in m-3. |
| NM3XP | m^-3 | Real | experimental 3rd main ion density | Measured third main ion density profile in m-3. |
| NM3XPEB | m^-3 | Real | error in experimental 3rd main ion density | Error bars on measured third main ion density profile in m-3. |
| NMn | m^-3 | Real | interpolated nth main ion density | nth main ion density profile in m-3. 1 &le n &le 9. If there are m main ion species, then NM1 - NMm should be filled, and NMm+1 - NM9 should be missing. |
| NMnEB | m^-3 | Real | error in interpolated nth main ion density | Error bars on nth main ion density profile in m-3. |
| NMnXP | m^-3 | Real | experimental nth main ion density | Measured nth main ion density profile in m-3. |
| NMnXPEB | m^-3 | Real | error in experimental nth main ion density | Error bars on measured nth main ion density profile in m-3. |
| PRES | Pa | Real | scalar MHD pressure profile | scalar MHD pressure flux function, as used in solution of Grad-Shafranov equilibrium equation |
| Q | - | Real | safety factor profile | Safety factor profile. |
| QEB | - | Real | error in safety factor profile | Error bars on safety factor profile. Provided on the same radial positions as Q. |
| QECHE | W/m^3 | Real | ECH electron power deposition | Power deposition profile |
| QECHI | W/m^3 | Real | ECH ion power deposition | Power deposition profile on thermal ions by ECH in W/m-3. |
| QEI | W/m^3 | Real | equipartition power density | Equipartition power density from electrons to ions in W m-3. |
| QFUSE | W/m^3 | Real | fusion power deposition to electrons | Electron heating density due to fusion DT reaction in Wm-3. |
| QFUSI | W/m^3 | Real | fusion power deposition to ions | Main thermal ion heating density due to DT fusion reaction in Wm-3. Includes the thermalization power (1.5 Sthermal α Ti) when Helium4 is the main thermal ion. |
| QIBWE | W/m^3 | Real | IBW electron power deposition | Power deposition profile on thermal electrons by IBW in W/m-3. |
| QIBWI | W/m^3 | Real | IBW ion power deposition | Power deposition profile on thermal ions by IBW in W/m-3. |
| QICRHE | W/m^3 | Real | ICRH electron power deposition | Power deposition profile on thermal electrons by icrh in W/m-3. |
| QICRHI | W/m^3 | Real | ICRH ion power deposition | Power deposition profile on thermal ions by icrh in W/m-3. |
| QLHE | W/m^3 | Real | LH electron power deposition | Power deposition profile on thermal electrons by LH in W/m-3. |
| QLHI | W/m^3 | Real | LH ion power deposition | Power deposition profile on thermal ions by LH in W/m-3. |
| QNBIE | W/m^3 | Real | NBI electron power deposition | Power deposition profile on thermal electrons by beams in W/m-3. |
| QNBII | W/m^3 | Real | NBI ion power deposition | Power deposition profile on thermal ions by beams in W/m-3. (includes the thermalization power of fast ions |
| QOHM | W/m^3 | Real | Ohmic power density | Ohmic power density in W m-3. |
| QRAD | W/m^3 | Real | radiated power density | Total radiated power density in W m-3. |
| QWALLE | W/m^3 | Real | electron heat loss from ionisation of wall neutrals | Thermal electrons heat loss due to the ionisation of wall neutrals in W m-3. |
| QWALLI | W/m^3 | Real | ion heat loss from ionisation/CX of wall neutrals | Main thermal ion heat loss due to ionisation and charge exchange with wall neutrals in Wm-3. = 〈 σ v 〉 cx n0 ni (1.5 Ti - E0 ) +〈 σ v 〉 ionisation n0 ne E0 |
| RHOxxxx | - | Real | evolving rho grid for experimental data | evolving rho grid for experimental data, where xxxx = TEXP, TEXPEB, TIXP, TIXPEB, NEXP, NEXPEB, NMnXP, NMnXPEB, VROTXP, VROTXPEB (where n labels thermal ion species 1&le n&le 9). |
| RMAJOR | m | Real | major radius | The geometrical major radius in meters, from an MHD equilibrium fit, defined as the average of the minimum and the maximum radial extent of the magnetic surface at the elevation of the magnetic axis. Normal level of accuracy is ASDEX (± 0.5%), D3D (± 0.6%) JET (± 1%), JFT2M (± 0.75%), PBXM (± 0.65%), PDX (± 0.75%). |
| RMINOR | m | Real | minor radius | Geometric minor radius of the magnetic surface at the elevation of the magnetic axis in m . |
| SBE | m^-3 s^-1 | Real | direct beam-electron ionization rate | direct beam-electron ionization rate |
| SBOI | m^-3 s^-1 | Real | sink rate of neutrals due to impact ionisation on fast ions | sink rate of neutrals due to impact ionisation on fast ions |
| SBOX | m^-3 s^-1 | Real | sink rate of neutrals due to charge exchange on fast ions | sink rate of neutrals due to charge exchange on fast ions |
| SNBIE | m^-3/s | Real | NBI electron source | Source of thermal electrons from beams in s-1 m-3. |
| SNBII | m^-3/s | Real | NBI ion source | Source of thermal ions from beams due to thermalization of beams particle and include charge exchange processes, in s-1 m-3. |
| SURF | m^2 | Real | surface area | Surface area of the magnetic surface in m2. |
| SWALL | m^-3/s | Real | ion particle source from ionisation of recycled wall neutrals | Main thermal ion particle source term due to ionisation of recycling wall neutrals in m-3 s-1. |
| TE | eV | Real | interpolated electron temperature | Fitted electron temperature profile in eV. |
| TEEB | eV | Real | error in interpolated electron temperature | Error bars on the fitted electron temperature profile in eV. Provided on the same radial positions as TE. |
| TEXP | eV | Real | experimental electron temperature | Measured electron temperature profile in eV. |
| TEXPEB | eV | Real | error in experimental electron temperature | Error bars on the measured electron temperature profile in eV. |
| TI | eV | Real | interpolated ion temperature | Fitted ion temperature profile in eV. |
| TIEB | eV | Real | error in interpolated ion temperature | Error bars on the fitted ion temperature profile in eV. Provided on the same radial positions as TI. |
| TIXP | eV | Real | experimental ion temperature | Measured ion temperature profile in eV. |
| TIXPEB | eV | Real | error in experimental ion temperature | Error bars on the measured ion temperature profile in eV. TIXPEB is added to TIXP for the upper limit. TIXPEB is subtracted from TIXP for the lower limit. Provided on the same radial positions as TIXP. |
| TORQ | N/m^2 | Real | external torque density on plasma | external torque density on plasma. +ve TORQ is anti-clockwise when viewed from above |
| UBPAR | J m^-3 | Real | parallel beam kinetic energy density | parallel beam kinetic energy density |
| UBPRP | J m^-3 | Real | perpendicular beam kinetic energy density | perpendicular beam kinetic energy density |
| VOLUME | m^3 | Real | volume | Volume enclosed by the magnetic surface in m3. |
| VROT | rad/s | Real | fitted toroidal angular speed | Generic and long-standing variable to store the fitted toroidal angular speed in rad/s. The comments file should specify the ion species that is associated with the submitted data: eg Carbon impurity rotation based on CXRS measurements, or estimated mass weighted average over all ion species of the toroidal angular speed using impurity rotation measurements and a physics model (such as the neoclassical model of NCLASS). +ve VROT is anti-clockwise when viewed from above. |
| VROTEB | rad/s | Real | error in fitted toroidal angular speed | Error bars on fitted toroidal angular speed in rad/s. Provided on same radial positions as VROT. |
| VROTM | rad/s | Real | Mass weighted mean toroidal angular speed | Mass weighted mean toroidal angular speed in rad/s. The comments file should specify the measurements and model assumptions used to estimate this data: eg combining impurity rotation measurements of C, O and the neoclassical model of NCLASS and assuming negligible poloidal rotation. +ve VROTM is anti-clockwise when viewed from above. |
| VROTMEB | rad/s | Real | Error in mass weighted mean toroidal angular speed | Error in mass weighted mean toroidal angular speed (rad/s). |
| VROTXP | rad/s | Real | experimental toroidal angular speed | Measured toroidal angular speed in rad/s. The comments file should specify the nature of submitted data more precisely: eg fitted Carbon impurity rotation based on CXRS measurements, or an estimate of the mass weighted average toroidal angular speed over all ion species using impurity rotation measurements and a physics model (such as the neoclassical theory model of NCLASS). +ve VROTXP is anti-clockwise when viewed from above. |
| VROTXPEB | rad/s | Real | error in experimental toroidal angular speed | Error bars on measured toroidal angular speed (rad/s). VROTXPEB is added to VROTXP for upper limit. VROTXPEB is subtracted from VROTXP for lower limit. Provided on same radial positions as VROTXP. |
| ZEFFR | - | Real | effective charge profile | Plasma effective charge radial profile. |
| ZEFFREB | - | Real | error in effective charge profile | Error bars on plasma effective charge radial profile. Provided on the same radial positions as ZEFFR. |
If you are new to MDSplus, then Tom Fredian's talk is probably the best place to start.
If you want to get started, then the following information is crucial.
| Database | PR08 | PR98 | Working DB | ITB DB | |||
| MDSplus Server Name | `tokamak-profiledb.ccfe.ac.uk' | ||||||
| Tree Names | pr08_tok0 | pr98_tok1 | tok1 | itb_tok1 | |||
| Read Access | unrestricted | unrestricted | registration required2 | registration required2 | |||
| Write Access | not applicable | not applicable | registration required3 | registration required3 | |||